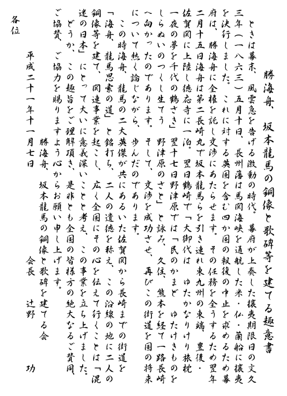
2009年6月6日 「勝海舟・坂本龍馬の銅像と歌碑を建てる会」では鶴崎公民館 集会室で
建てる意義を考える集いを開催いたしました。
会長になっていただいている辻野功先生のお話があり、会長からこれまでの経過報告があったり、
建てる会の実行委員長の北川氏が 勝海舟と坂本龍馬と鶴崎の関係や映像でも基本構想の説明
記念講演として 長崎から 龍馬楽 校長の柴崎賀広氏が長崎での資金集めや活動報告と
「龍馬伝」に期待するものというタイトルでお話がありました。
北川氏のホームページ鶴崎歴史散歩をご覧ください。

![]() |
||
平成21年11月7日の決起大会の様子![]() |
||
鶴崎公民館会場![]() |
会長の辻野先生![]() |
|
経過報告![]() |
勝海舟・坂本龍馬と鶴崎の関係![]() |
|
構想実現に期待すると野間さん![]() |
中津で龍馬会を立ち上げている楠木さん![]() |
|
鶴崎の坂本龍馬と勝海舟![]() |
長崎龍馬楽校長の柴崎さん![]() |
|
| この意気で鶴崎に勝海舟と坂本龍馬の銅像と歌碑が建つといいですね 皆様のご協力 お願いいたします。 |
||
![]() |
||